Integration Changement De Variables . Intégration par changement de variable 6 YouTube Exercice 1 - Changements de variables - Niveau 1 [Signaler une erreur] [Ajouter à ma feuille d'exos] Enoncé En effectuant le changement de variables demandé, calculer les intégrales suivantes : Changement de variable en 2d : le jacobien - calcul d'aire
Exercice Intégration par Changement de Variable YouTube from www.youtube.com
Je vous conseille de faire autant de calculs d'intégrales possibles pour connaitre les bons changements de variable à poser Parfois, un changement de variable apparemment logique ne conduit pas à une intégrale facile à évaluer et vous devez être prêt à essayer un autre changement de variable
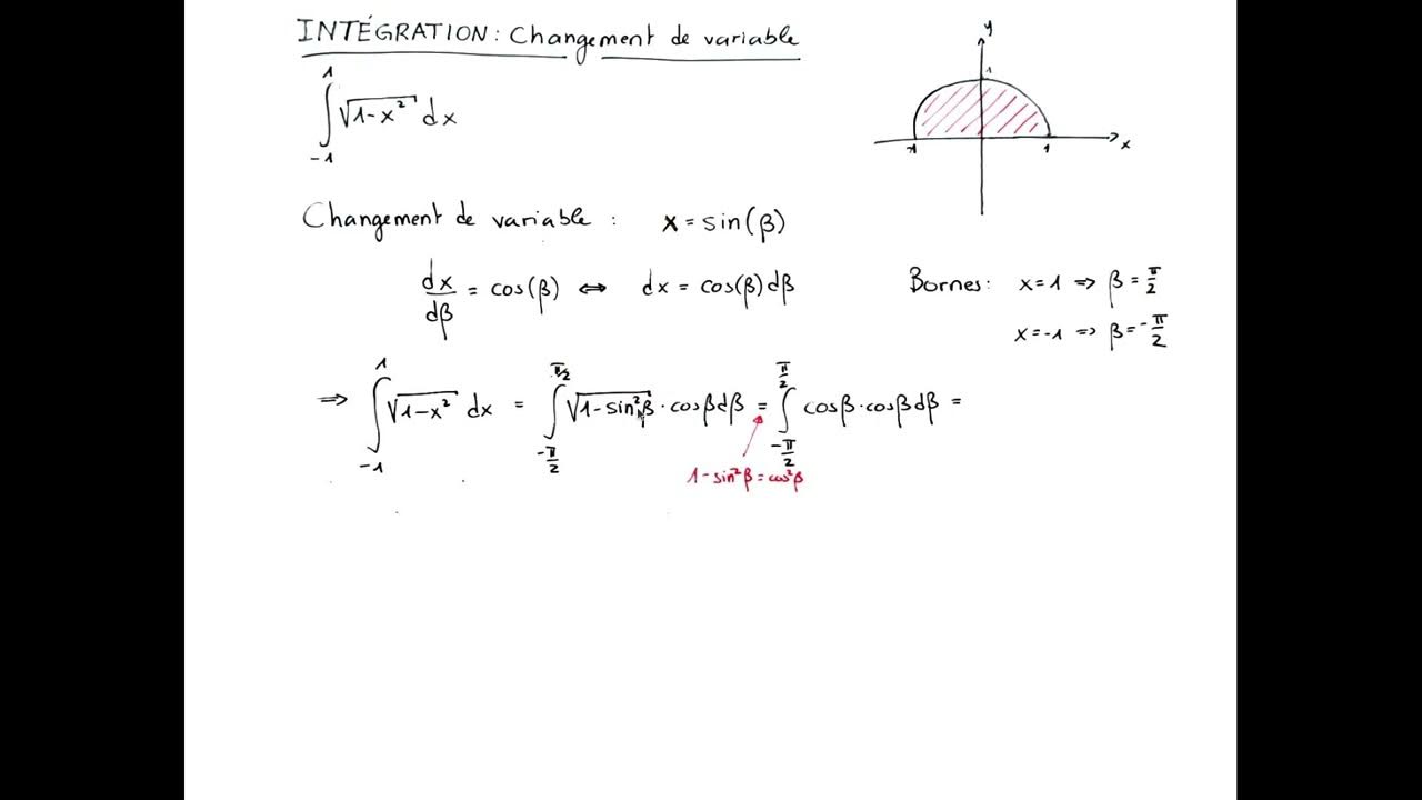
Exercice Intégration par Changement de Variable YouTube On doit être capable d'écrire l'intégrande d'une manière particulière car l'intégration par changement de variable est habituellement appliquée à une. Les règles de Bioche peuvent être utiles pour poser le bon changement dans certains cas Pour la première vidéo : Soit D = {(x ; y) ∈ R 2 | 4 ≤ x 2 + y 2 ≤ 9, y ≥ 0} Calculer A D de deux manières différentes.
Source: icsgstvf.pages.dev Changement de variable. Intégration d'une fonction rationnelle trigonométrique en ( sin x , cos , Changement de variable en 2d : le jacobien - calcul d'aire Ce procédé est un des outils principaux pour le calcul explicite d'intégrales.
Source: cobsdepog.pages.dev Intégration par Changement de Variable Calcul Intégrale 2 bac SM [Exercice 28] YouTube , le changement de variable; la décomposition en éléments simples; le calcul de limite L'intégrale I à calculer sera vue ici comme étant la limite à plus l'infini d'une fonction f(L) : Avec pour la fonction f(L) : Voyons maintenant comment simplifier puis calculer la fonction f(L) Je vous conseille de faire autant de calculs d'intégrales possibles pour connaitre les bons.
Source: neurunfmv.pages.dev Intégration par changement de variable 2 YouTube , Pour la première vidéo : Soit D = {(x ; y) ∈ R 2 | 4 ≤ x 2 + y 2 ≤ 9, y ≥ 0} Calculer A D de deux manières différentes. 3 Int egration par changement de variable 3.1 Int egration par changement de variable, int egrale ind e nie Dans l'int egration par changement de variable,.
Source: mikulichypv.pages.dev Intégration par Changement de variable , Dans la plupart des sujets de concours, tu devras calculer des intégrales en effectuant un changement de variable Les règles de Bioche peuvent être utiles pour poser le bon changement dans certains cas
Source: viralivkjz.pages.dev Méthodes d'intégration Changement de variable Exercice ( Suite ) YouTube , Les règles de Bioche peuvent être utiles pour poser le bon changement dans certains cas 3 Int egration par changement de variable 3.1 Int egration par changement de variable, int egrale ind e nie Dans l'int egration par changement de variable, on e ectue une int egration par substitution \ a l'envers", puis on revient a la variable originelle au.
Source: ritijadsq.pages.dev Intégration par changement de variable Cas complexes YouTube , 3 Int egration par changement de variable 3.1 Int egration par changement de variable, int egrale ind e nie Dans l'int egration par changement de variable, on e ectue une int egration par substitution \ a l'envers", puis on revient a la variable originelle au moyen de la fonction r eciproque En mathématiques, et plus précisément en analyse, l'intégration par.
Source: hscraftswat.pages.dev Intégration avec changement de variable exercice corrigé partie 2 YouTube , Je vous conseille de faire autant de calculs d'intégrales possibles pour connaitre les bons changements de variable à poser 3 Int egration par changement de variable 3.1 Int egration par changement de variable, int egrale ind e nie Dans l'int egration par changement de variable, on e ectue une int egration par substitution \ a l'envers", puis on revient a.
Source: mytraderhaf.pages.dev Deux méthodes de calcul intégrale intégration par partie et changement de variables x^3*e^(x^2 , 3 Int egration par changement de variable 3.1 Int egration par changement de variable, int egrale ind e nie Dans l'int egration par changement de variable, on e ectue une int egration par substitution \ a l'envers", puis on revient a la variable originelle au moyen de la fonction r eciproque Exercice 1 - Changements de variables - Niveau 1.
Source: funddatabxg.pages.dev DÉMONSTRATION DE L’INTÉGRATION PAR CHANGEMENT DE VARIABLES YouTube , Changement de variables Fonctions d'une variable réelle Théorème : Soit $\varphi$ une fonction réelle de classe $\mathcal C^1$ définie sur un intervalle $[a,b]$. On doit être capable d'écrire l'intégrande d'une manière particulière car l'intégration par changement de variable est habituellement appliquée à une.
Source: masihahsx.pages.dev Intégration par changement de variable Cas simples YouTube , 3 Int egration par changement de variable 3.1 Int egration par changement de variable, int egrale ind e nie Dans l'int egration par changement de variable, on e ectue une int egration par substitution \ a l'envers", puis on revient a la variable originelle au moyen de la fonction r eciproque Pour la première vidéo : Soit D = {(x.
Source: crfhostsiu.pages.dev Intégration par changement de variable 3 YouTube , Ce procédé est un des outils principaux pour le calcul explicite d'intégrales. Je vous conseille de faire autant de calculs d'intégrales possibles pour connaitre les bons changements de variable à poser
Source: ffohgshkg.pages.dev Intégration par changement du variable et par partie YouTube , le changement de variable; la décomposition en éléments simples; le calcul de limite L'intégrale I à calculer sera vue ici comme étant la limite à plus l'infini d'une fonction f(L) : Avec pour la fonction f(L) : Voyons maintenant comment simplifier puis calculer la fonction f(L) Changement de variables Fonctions d'une variable réelle Théorème : Soit $\varphi$ une fonction réelle.
Source: zealhrmuq.pages.dev Intégration par changement de variable 1 YouTube , Parfois, un changement de variable apparemment logique ne conduit pas à une intégrale facile à évaluer et vous devez être prêt à essayer un autre changement de variable L'énoncé vu en cours de mathématiques en SUP est le suivant :
Source: refdeskxnf.pages.dev Méthode d'intégration changement de variable YouTube , Changement de variable en 2d : le jacobien - calcul d'aire Dans la plupart des sujets de concours, tu devras calculer des intégrales en effectuant un changement de variable
Source: jamiatpuosa.pages.dev Intégration par changement de variable 6 YouTube , Par contre, pour trouver quel changement de variable il faut faire, il faut avoir une bonne intuition En mathématiques, et plus précisément en analyse, l'intégration par changement de variable est un procédé d'intégration qui consiste à considérer une nouvelle variable d'intégration, pour remplacer une fonction de la variable d'intégration initiale
Intégration par Changement de variable . L'énoncé vu en cours de mathématiques en SUP est le suivant : On doit être capable d'écrire l'intégrande d'une manière particulière car l'intégration par changement de variable est habituellement appliquée à une.
Méthode d'intégration changement de variable YouTube . Dans la plupart des sujets de concours, tu devras calculer des intégrales en effectuant un changement de variable Ce procédé est un des outils principaux pour le calcul explicite d'intégrales.